Anticorpi Anti Hbs Cantitativ Interpretare





Interpretarea Testelor Serologice In Hepatita Virală B Speciale Analize

Interpretarea Testelor Serologice In Hepatita Virală B Speciale Analize

Protocolul Terapeutic In Hepatita Cronică Si Ciroza Hepatică Cu Virus Vhb Lb01b Formare Medicala

Protocolul Terapeutic In Hepatita Cronică Si Ciroza Hepatică Cu Virus Vhb Lb01b Formare Medicala

Actualitati In Diagnosticul Si Tratamentul Hepatitelor Cronice Emcb

Actualitati In Diagnosticul Si Tratamentul Hepatitelor Cronice Emcb

Actualitati In Diagnosticul Si Tratamentul Hepatitelor Cronice Emcb

Actualitati In Diagnosticul Si Tratamentul Hepatitelor Cronice Emcb

Http Www Bio Rad Com Webroot Web Pdf Inserts Cdg Ro 883582 Ro Pdf

Http Www Bio Rad Com Webroot Web Pdf Inserts Cdg Ro 883582 Ro Pdf

2

2

2

Anti hbs sunt prezenţi în ser la 4 6 luni de la debutul bolii şi rămân detectabili la 80 90 dintre pacienţii cu virusul eliminat 4.

Anticorpi anti hbs cantitativ interpretare. în eventualitatea unui spectru incomplet de benzi care este întâlnit în special la pacienţii imunodeprimaţi anticorpii anti ns4 şi anti ns5 sunt în mod obişnuit absenţi. Hepatita virală b se vindecă în totalitate la 90 dintre pacienţi în decurs de 12 săptămâni cu dispariţia aghbs şi apariţia anticorpilor protectori anti hbs 1. în cazul în care este necesar medicul poate cere biopsia unei mici porțiuni din țesutul ficatului care va fi testată în laborator. Nici daca viremia scade la limite nedetectabile si transaminazele la fel.

Hbc ac totali anticorpi anti hbc hbe ac ahbe rujeola ac igg masge 021 9268 apelabil din orice retea nationala fixa sau mobila facebook. O creștere a nivelului anticorpilor anti hbs împreuna cu negativarea ag hbs denotă convalescența în hepatita b. In hepatita fulminanta anticorpii apar precoce si pot coexista cu un titru scazut de antigene. Markerul specific pentru anticorpi este ac anti hbs.

Cu toate acestea intensitatea benzilor variază semnificativ în decursul infecţiei. Anticorpi ac anti hbs din comunitate. Prezenţa anticorpilor anti hbs fără aghbs detectabil. în infecţia hcv cronică apare de obicei întreaga paletă de anticorpi.

Igm anti hbc si igg anti hbc. Alte investigații suplimentare includ o ecografie a ficatului care va determina cât de afectat este acesta. Sa inteleg ca anticorpi ac anti hbs nu pot aparea detectabili in organism. în infecția acută ei sunt pozitivi și în fereastra hbs perioada de timp între sfârșitul detectabilității aghbs și începutul detectabilității ac anti hbs.

Ag hbs test cantitativ dictionar de analize. Anticorpii anti hbc totali indică infecție în desfășurare sau în antecedente cu vhb. Viremia tgo tgp gama t ac anti hbs starea pacientului. Hbc ac totali anticorpi anti hbc descriere hepatita b este o infectie hepatica provocata de virusul hepatitic b si una dintre cele 5 virusuri hepatitice alaturi de virusurile a c d si e.

Un numar mic de persoane dobandesc o infectie cu vhb dupa ce au dezvoltat un titru ridicat de anticorpi anti hbs datorita unui vhb mutant.

Viremia In Hepatita Valori Normale Mari Mici Cabinet De Gastroenterologie Si Hepatologie Dr Ditoiu Alecse Valerian Bucuresti Cabinet De Gastroenterologie Si Hepatologie Dr Ditoiu Alecse Valerian Bucuresti

Viremia In Hepatita Valori Normale Mari Mici Cabinet De Gastroenterologie Si Hepatologie Dr Ditoiu Alecse Valerian Bucuresti Cabinet De Gastroenterologie Si Hepatologie Dr Ditoiu Alecse Valerian Bucuresti

Purtatorul Sanatos De Virus B Cabinet De Gastroenterologie Si Hepatologie Dr Ditoiu Alecse Valerian Bucuresti Cabinet De Gastroenterologie Si Hepatologie Dr Ditoiu Alecse Valerian Bucuresti

Purtatorul Sanatos De Virus B Cabinet De Gastroenterologie Si Hepatologie Dr Ditoiu Alecse Valerian Bucuresti Cabinet De Gastroenterologie Si Hepatologie Dr Ditoiu Alecse Valerian Bucuresti

Markeri Virali Hepatita

Markeri Virali Hepatita

Ai Aghbs Ce Trebuie Sa Faci Cabinet De Gastroenterologie Bucuresti

Ai Aghbs Ce Trebuie Sa Faci Cabinet De Gastroenterologie Bucuresti

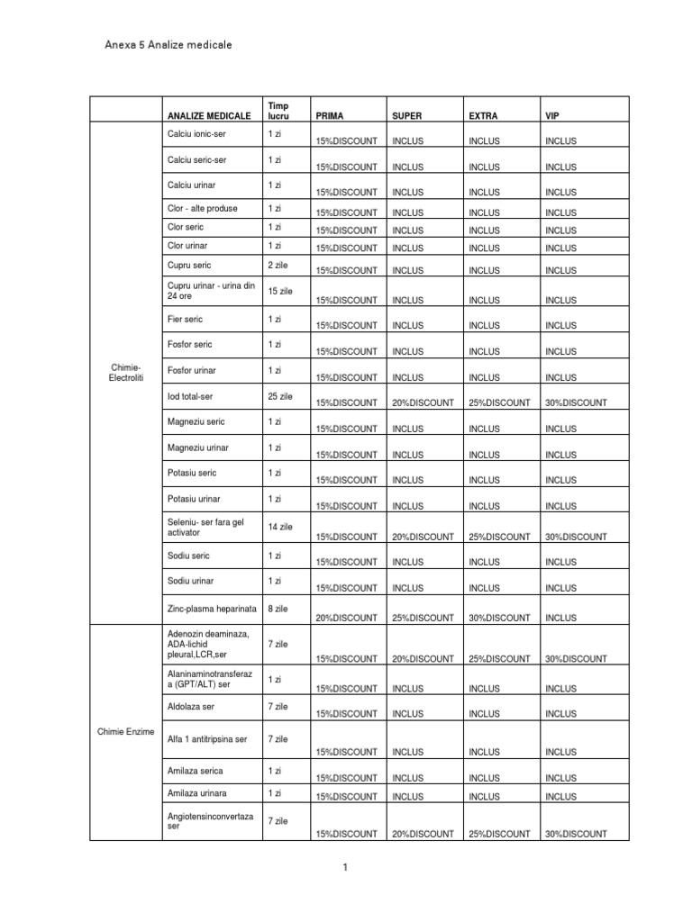
Anexa 5 Sanador Analize Medicale Ro

Anexa 5 Sanador Analize Medicale Ro

2

2

Analize Medicale Priority Medical

Analize Medicale Priority Medical

Viremia In Hepatita Valori Normale Mari Mici Cabinet De Gastroenterologie Si Hepatologie Dr Ditoiu Alecse Valerian Bucuresti Cabinet De Gastroenterologie Si Hepatologie Dr Ditoiu Alecse Valerian Bucuresti

Viremia In Hepatita Valori Normale Mari Mici Cabinet De Gastroenterologie Si Hepatologie Dr Ditoiu Alecse Valerian Bucuresti Cabinet De Gastroenterologie Si Hepatologie Dr Ditoiu Alecse Valerian Bucuresti

Https Www Bio Rad Com Webroot Web Pdf Inserts Cdg Ro 883661 Ro Pdf

Https Www Bio Rad Com Webroot Web Pdf Inserts Cdg Ro 883661 Ro Pdf

Preturi Analize Medicale Synevo Fertilizare In Vitro

Preturi Analize Medicale Synevo Fertilizare In Vitro

Interpretarea Analizelor In Hepatita C

Interpretarea Analizelor In Hepatita C

Cum Se Urmareste Purtatorul Sanatos De Virus B Hepatita Cronica Simptome Diagnostic Complicatii Tratament

Cum Se Urmareste Purtatorul Sanatos De Virus B Hepatita Cronica Simptome Diagnostic Complicatii Tratament

Interpretare Analize Pagina 41 Hepatita B Intrebari Si Raspunsuri Forum Roportal

Interpretare Analize Pagina 41 Hepatita B Intrebari Si Raspunsuri Forum Roportal

A1 Analize Valori Normale

A1 Analize Valori Normale

Source : pinterest.com